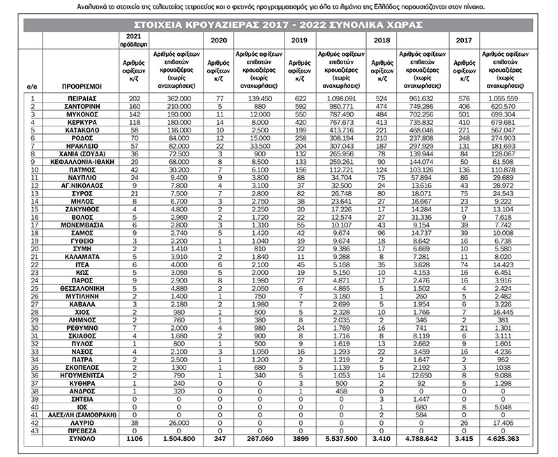
Σύμφωνα με τον μέχρι τώρα προγραμματισμό, φέτος αναμένονται στο λιμάνι της Καλαμάτας 5 κρουαζιερόπλοια με 3.910 επιβάτες (πέρυσι ήρθαν 2 με 1.840 επιβάτες) και στο λιμάνι της Πύλου 1 κρουαζιερόπλοιο με 800 επιβάτες (πέρυσι ήρθε 1 με 500 επιβάτες)
Σύμφωνα με τα στοιχεία που συγκέντρωσε η ΕΚΦΝ, πέρυσι στα ελληνικά λιμάνια είχαμε μόλις 267.000 αφίξεις επιβατών σε 247 calls κρουαζιεροπλοίων σε όλους τους προορισμούς. Μόλις μία χρονιά πριν, το 2019, οι αφίξεις επιβατών κρουαζιέρας στους ελληνικούς προορισμούς έφτασαν τα 5,5 εκατ. σε 3.899 calls, ενώ οι προβλέψεις για τη φετινή σεζόν -και υπό την προϋπόθεση ότι οι εμβολιασμοί θα έχουν αποτέλεσμα και δεν θα έχουμε νέα lockdown όλη τη χρονιά- κάνουν λόγο για 1,5 εκατ. αφίξεις.

