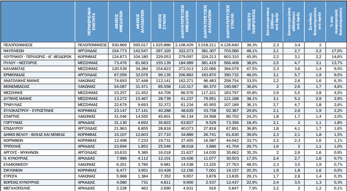
Το 2024 στην Περιφέρεια Πελοποννήσου οι περισσότερες διανυκτερεύσεις σε επίπεδο νομού πραγματοποιήθηκαν σε ξενοδοχεία στη Μεσσηνία (33,%) και σε επίπεδο δήμου στους δήμους Ναυπλιέων (17,%), Λουτρακίου – Περαχώρας και Αγίων Θεοδώρων (14,6% ) και Πύλου Νέστορος (13,7%). Οι περισσότερες αφίξεις σύμφωνα με τα ίδια στοιχεία της Ελληνικής Στατιστικής Αρχής πραγματοποιήθηκαν στην Αργολίδα ( 31,4%) και στους δήμους Ναυπλιέων (19,4,%), Λουτρακίου – Περαχώρας και Αγίων Θεοδώρων (15% ) και Πύλου Νέστορος (10%). Αξίζει να σημειωθεί ότι 1 στις 2 αφίξεις της Περιφέρειας Πελοποννήσου καταγράφηκε σε ξενοδοχεία της Αργολίδας και της Κορινθίας που είναι γνωστό πως εξυπηρετούνται κυρίως από το αεροδρόμιο «Ελ. Βενιζέλος» της Αθήνας.
Αναλυτικά, το 2024 καταγράφηκαν στα ξενοδοχεία της Περιφέρειας Πελοποννήσου συνολικά 1.525.886 αφίξεις από τις οποίες οι 441.291 στην Αργολίδα, οι 415.782 στη Μεσσηνία, οι 327.210 στην Κορινθία, οι 353. 217 στην Λακωνία και οι 136.102 στη Αρκαδία. Σε επίπεδο δήμου καταγράφηκαν 297.320 αφίξεις στο Δήμο Ναυπλιέων, 229.053 στο Δήμο Λουτρακίου – Περαχώρας και Αγίων Θεοδώρων 155.139 και Πύλου Νέστορος, 154.823 στο Δήμο Καλαμάτας και 112.141 στο Δήμο Δυτικής Μάνης
Το ίδιος έτος καταγράφηκαν στα ξενοδοχεία της Περιφέρειας Πελοποννήσου συνολικά 4.126.640 διανυκτερεύσεις από τις οποίες οι 1.372.661 στη Μεσσηνία, οι 1.197.865 στην Αργολίδα, 820.526 στην Κορινθία, 571.741 στη Λακωνία και 163.847 στην Αρκαδία. Σε επίπεδο δήμου οι περισσότερες διανυκτερεύσεις καταγράφηκαν στο Δήμο Ναυπλιέων 703.580, στο Δήμο Λουτρακίου – Περαχώρας και Αγιών Θεοδώρων 603.310 , στο Δήμο Πύλου Νέστορος 566.408, στο Δήμο Καλαμάτας 394.079 στο Δήμο Ερμιονίδας 390.732 διανυκτερεύσεις.
Οι περισσότερες διανυκτερεύσεις αλλοδαπών καταγράφηκαν στους δήμους Πύλου Νέστορος 381.419, Ναυπλιέων 381.307 Λουτρακίου – Περαχώρας και Αγίων Θεοδώρων 324.213, Ερμιονίδας 183.870, Καλαμάτας 122.026 και Μεσσήνης 117.221.
Οι περισσότερες διανυκτερεύσεις ανά άφιξη καταγράφηκαν στους δήμους Πύλου Νέστορος 3,1, Δυτικής Μάνης 2,9, Μεσσήνης 2,8, Ναυπλιέων 2,2 και Λουτρακίου – Περαχώρας και Αγίων Θεοδώρων 2,2.
Οι περισσότερες διανυκτερεύσεις ανά άφιξη αλλοδαπού καταγράφηκαν στους Δήμους Ερμιονίδας 5,7, Μεσσήνης 5,5, Δυτικής Μάνης 5,2., Πύλου Νέστορος 4,7 και Τριφυλίας 4,7.
Η μεγαλύτερη πληρότητα καταγράφηκε στα ξενοδοχεία των δήμων Ελαφόνησου 48,5%, Ναυπλιέων 48,1%, Καλαμάτας 47,5%, Ερμιονίδας 46%, Λουτρακίου – Περαχώρας και Αγίων Θεοδώρων 45,9% και Μεσσήνης 45,8%.
Περισσότερα στοιχεία για τους νομούς και τους δήμους της Περιφέρειας Πελοποννήσου παρουσιάζονται στους πίνακες:


